来源:医学新视点
全球累计确诊新冠病例已超过2000万,世卫组织在近期声明中也表示疫情预计将持续很长时间。在新冠病毒的诸多传播特点中,无症状感染者的传染性究竟要如何理解,自疫情发生以来一直是人们关心的问题。
韩国研究团队在《美国医学会杂志-内科学》最新发表的研究为此增添了重要证据。对一个社区感染患者的分析表明,无症状感染者体内的病毒载量与有症状患者相似,建议将其视为传播关键因素来采取公共卫生措施。
研究团队回顾分析了2020年3月6日-3月26日韩国天安市(Cheonan)一个社区隔离治疗中心内共303名新冠病毒感染者的数据。隔离期间,在第8、9、15和16天,医护工作人员会收集这些感染者的上呼吸道(鼻咽和口咽拭子)和下呼吸道(痰)样本,用于核酸检测并作为结束隔离的参考。
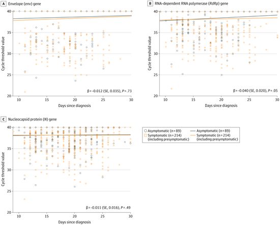
截图来源:JAMA Internal Medicine所有303人中,193人(63.7%)在隔离时已经有症状,21人(6.9%)在隔离期间才陆续出现症状,89人(29.4%)始终没有出现症状。从检测到新冠病毒感染到出现症状的平均时间是15天(四分位数13-20天)。
在检测出感染后第14天和第21天,无症状感染者核酸结果转阴比例分别为33.7%和75.2%,有症状患者转阴比例分别为29.6%和69.9%,从确认感染到首次转阴的中位时间,在无症状感染者和有症状患者中分别为17天和19.5天,没有显著差异。
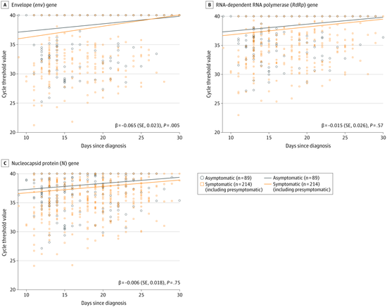
核酸检测结果表明,无论是上呼吸道样本中新冠病毒env蛋白(编码包膜蛋白,envelope)和N蛋白(核衣壳蛋白,nucleocapsid)的基因序列,还是下呼吸道样本中新冠病毒RdRp (RNA依赖性RNA聚合酶)和N蛋白的基因序列检测,无症状感染者和有症状患者体内的病毒载量都基本相似。而且,从确认感染到解除隔离期间,比起有症状患者,无症状感染者下呼吸道样本中的病毒载量下降更慢。

无症状感染者(蓝)和有症状患者(黄)上呼吸道(上图)和下呼吸道(下图)样本中,检测新冠病毒env蛋白、N蛋白和RdRp 基因所分别测出病毒载量基于这些数据,研究团队提出,"无症状感染者带来的传播可能是社区传播的关键因素,需要开展基于人群的监测,并及时隔离无症状感染者。"
JAMA子刊:社区传播,无症状感染者可能是关键因素新冠病毒新冠肺炎巨鲸、 爆款打造之红人计划、 学会卖家成绩表、 Keywords Everywhere、 运费设置、 为什么你的速卖通店铺做不起来?、 到新加坡旅游、 到新加坡旅游、 现在到新加坡旅游多少钱、
No comments:
Post a Comment